最新动静,华府六合 又来了!总价1000万级别墅!持续热销中!建面约150-158㎡现房丨附看房报名通道!闵行旗忠高尔夫原石墅区,满满的干货来了!正在如许的布景下,闵行从城竟然出了个四开四罄的网红盘,它就是闵行从城旗忠别墅区,容积率1。0纯墅区——上海华府六合!
而无论是产物、社区仍是地段,上海华府六合都具备着难以复制的稀缺性,分析呈现的高端栖身体验错过再难有,且买且爱惜!现在跟着价钱门槛的不竭提高,万万摆布的预算也不外正在闵行七宝如许的板块买1套建面约100㎡摆布的高层3房,难以承载一个家族对高质量栖身体验的巴望。
上海华府六合同属闵行从城区,即将发售的建面约150-158㎡两叠产物预算也是正在万万摆布,但栖身舒服度天差地别。
位于上海市闵行区马桥镇昆阳北以东,元江以北,北沙港以西。珠玉正在前,华府六合择址旗忠马桥,取豪宅群落比肩为邻,沿袭低密墅区质量「上海·华府六合 」旗忠的静谧怡人、配套高端大气,亿级别墅群林立,为人熟知的亚洲十大豪宅绿城正座落于此。现在,传奇送来终章,上海华府六合最初一批次,152套建面约150-158㎡两叠产物,总价万万级摆布。这不只是项目错过不再有的收官房源,更是罕见的准现房发售,估计2025年3月底即可交房!为十余年上海豪宅市场打下根本。此后,还打制了一系列典范项目,如:黄浦华府六合·睿园,闵行旗忠华府六合·愉园。总价1000万起!现房发售上海华府六合即将发售的建面约150-158㎡两叠产物预算也是正在万万摆布,但栖身舒服度天差地别。区别于其他上、中、下三叠的六层产物,只要上、下两叠的四层产物,栖身舒服度更高。乔木掩映之间,勾勒世家富家的奢雅门牌。上海·华府六合,周边具有纵横立体的交通网,经嘉闵高架可中转虹桥商务区及虹桥枢纽;沪昆高速和虹梅南高架取中环、沪闵高架相连达到古北、长宁徐家汇;申嘉湖高速可快速通往浦东机场及长三角城市。
板块内具有马桥尝试长儿园、马桥尝试小学、复旦万科尝试中学、闵行福山尝试学校、上海交通大学、华东师范大学等全龄段学校,此外还有斯代文森国际高中,德威英国国际学校。
更有旗忠国际网球核心、高尔夫俱乐部、马术核心、逛艇俱乐部四大贵族体育场所环伺,将来鼎级生态糊口一应俱全。以及一张全球城市文化手刺安缦酒店,将来马桥的人文生态糊口无可限量,成为上海宜栖身国际生态栖身地。
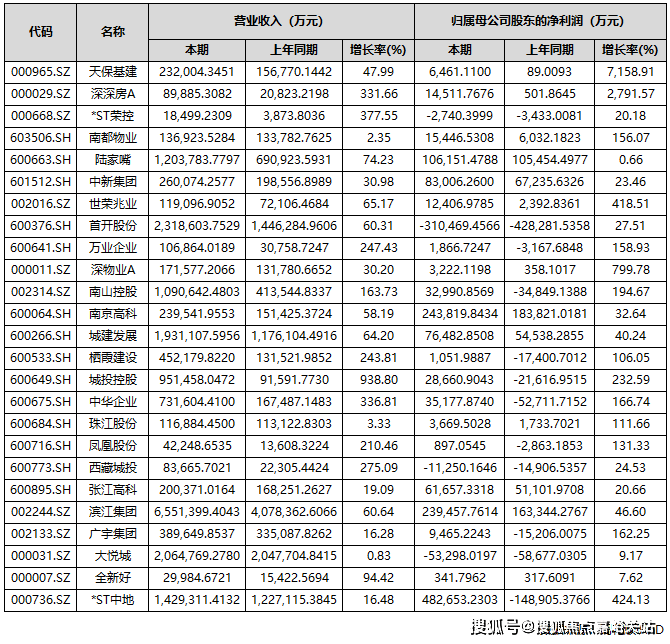
闵行马桥成为土拍热区,万达、碧桂园世界500强房企抢占马桥板块,更将马桥的区域价值推向又一高峰。楼盘项目全面引见,本德律风为开辟商供给线上预定售楼德律风,楼盘项目全面引见(包含楼盘简介,均价,房价,现房,期房,别墅,叠墅,大平层,价钱,楼盘地址,户型图,交通规划,存案价,存案名,项目配套,样板间,开盘时间,认筹时间,楼盘详情,售楼处德律风,最新动静,最新详情,周边配套,一房一价,最新进展等详情征询)楼盘详情丨价钱丨更多优惠丨机不成失丨欢送致电丨诚邀品鉴!售楼处丨特价房丨工抵房丨残剩房源丨户型图丨最新动静丨免责声明!将文章内容分析来历于收集、只做分享,版权归原做者所有!!若有侵权,请联系我们,我们第一时间处置若有问题欢送来电征询,专业一对一热情办事,让您用专业目光去买房。若是您想领会更多楼盘详情,欢送提前预定拨打中房网按照同花顺iFinD数据统计,截至10月31日,A股共有85家上市房企披露2025年三季度业绩演讲。此中,超4成房企营收实现同比增加;43家房企实现盈利,占比超五成;归母净利润实现同比增加的房企共有37家,占比为43。53%。自2022年起,房地产行业业绩承压态势已延续数年。正在业内看来,低利润项目集中结算取市场调整期减值预备计提,配合导致了上市房企业绩持续吃亏,楼市回暖或将成为房企报表修复的环节契机。从上市房企三季度演讲来看,营收实现同比增加的房企共有36家,占比为42。35%;营收同比下滑的有49家,占比57。65%。具体到营收金额方面,保利成长、万科A、招商蛇口、滨、华发股份、新城控股、金地集团、首开股份、大悦城、荣盛成长、城建成长、华侨城A、陆家嘴和南山控股15家企业营收额跨越百亿元。此中,保利成长、万科A和招商蛇口别离以1737。2亿元、1613。9亿元和897。66亿元的营收居于A股上市房企前三位。
此中,有7家房企归母净利润跨越10亿元,别离是*ST中地、招商蛇口、南京高科、滨、保利成长、上海临港和陆家嘴。
做为一家“披星戴帽”的房企,其账面盈利的焦点驱动力来自严沉资产沉组。本年6月,*ST 中地通知布告称,打算将旗下房地产开辟营业相关的全数资产取欠债,让渡给控股股东中交房地产集团无限公司。这一沉组事项正在8月31日完成本色资产交代,房地产营业自此正式退出公司归并报表范畴。据悉,资产沉组为* ST中地带来64。89亿元的资产置出相关收益,这一数据间接拉动了当期利润表示,同时鞭策归属于上市公司股东的净资产转正至12。48亿元。数据显示,本年前三季度,万科实现停业收入1613。9亿元,同比下滑16。61%;归属于上市公司股东的净吃亏280。2亿元,万科方面暗示,吃亏扩大的缘由包罗开辟营业结算规模下滑、毛利率仍处低位、新增计提存货贬价预备、部门资产买卖和股权措置的买卖价钱低于账面值等。另一吃亏规模超百亿的为*ST金科。前三季度,金科实现停业总收入56。99亿元,同比下滑73。57%;归母净利润吃亏107。78亿元,还有华夏幸福,其吃亏规模也近百亿。前三季度,公司停业收入为38。82亿元,同比下降72。09%,归属于上市公司股东的净利润吃亏98。29亿元,
此中,天保基建前三季度归属于上市公司股东的净利润增幅最大,为7158。91%。天保基建暗示,业绩增加次要得益于演讲期内满脚收入结转前提的项目添加,以及冲回的地盘添加和资产减值丧失削减。值得一提的是,虽然归母净利润实现了正增加,但仍有不少房企是吃亏形态,如深振业A、华远控股、万通成长、京投成长、金融街、首开股份、城投、电子城、*ST荣控、大悦城10家房企期内归母净利润为负。
全体来看,当前房地产行业仍处于建底企稳调整周期,大都企业业绩表示未达市场预期,行业全面修复尚需时间。不外,业内人士指出,正在本轮楼市新政感化下,焦点城市活跃度较着提拔,将来这部门房企无望率先修复利润表。多家企业也暗示,通过正在焦点城市拿利润较高的项目,逐渐带动利润表的修复。上海易居房地产研究院副院长严跃进认为,近几年房企地盘成本、融资成本以及各项费用有所下降,楼盘发卖也有亮眼表示,将来房企存正在业绩“逆转”的可能,但会正在个体企业身上慢慢实现,大多房企仍是要着沉“保现金流”。
Copyright © 2023 浙江U乐国际·(中国)官方网站机械 All Rights Reserved. 技术支持:U乐国际·(中国)官方网站 网站地图